Sign up
|
Login
Home
|
Math
|
Physics
|
Chemistry
|
Biology
|
Other
|
Tools
Submit New Formulas/Articles
Recently Added Math Formulas
·
Curl of a Vector Field
·
Divergence of a Vector Field
·
Gradient of a Scalar Field
·
Properties of Transposes
·
The Transpose of a Matrix
Additional Formulas
·
Cartesian Coordinate
·
Cylindrical Coordinate
·
Spherical Coordinate
·
Transform from Cartesian to Cylindrical Coordinate
·
Transform from Cartesian to Spherical Coordinate
·
Transform from Cylindrical to Cartesian Coordinate
·
Transform from Spherical to Cartesian Coordinate
·
Divergence Theorem/Gauss' Theorem
·
Stokes' Theorem
·
Definition of a Matrix
Current Location
>
Math Formulas
>
Linear Algebra
> Curl of a Vector Field
Curl of a Vector Field
The curl of a vector field
A
, denoted by curl
A
or ∇ x
A
, is a vector whose magnitude is the maximum net circulation of A per unit area as the area tends to zero and whose direction is the normal direction of the area when the area is oriented to make the net circulation maximum!.
In Cartesian
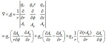
In Cylindrical
In Spherical
Given a vector field F(x, y, z) = Pi + Qj + Rk in space. The curl of
F
is the new vector field
This can be remembered by writing the curl as a "determinant"
Theorem:
Let
F
be a three dimensional differentiable vector field with continuous partial derivatives. Then Curl
F
= 0, if and only if
F
is conservative.
Example 1:
Determine if the vector field
F
= yz
2
i
+ (xz
2
+ 2)
j
+ (2xyz - 1)
k
is conservative.
Solution:
Therefore the given vector field F is conservative.
Example 2:
Find the curl of F(x, y, z) = 3x
2
i
+ 2z
j
– x
k
.
Solution
:
Example 3:
What is the curl of the vector field
F
= (
x
+
y + z
,
x
−
y
– z,
x
2
+
y
2
+
z
2
)?
Solution
:
Example 4:
Find the curl of
F
= (x
2
– y)i + 4zj + x
2
k
.
Solution
:
Web-Formulas.com ©
2025
|
Contact us
|
Terms of Use
|
Privacy Policy
|