Example 1: Solve integral of exponential function ∫ex32x3dx
Solution:
Step 1: the given function is ∫ex^33x2dx
Step 2: Let u = x3 and du = 3x2dx
Step 3: Now we have: ∫ex^33x2dx= ∫eudu
Step 4: According to the properties listed above: ∫exdx = ex+c, therefore ∫eudu = eu + c
Step 5: Since u = x3 we now have ∫eudu = ∫ex3dx = ex^3 + c
So the answer is ex^3 + c
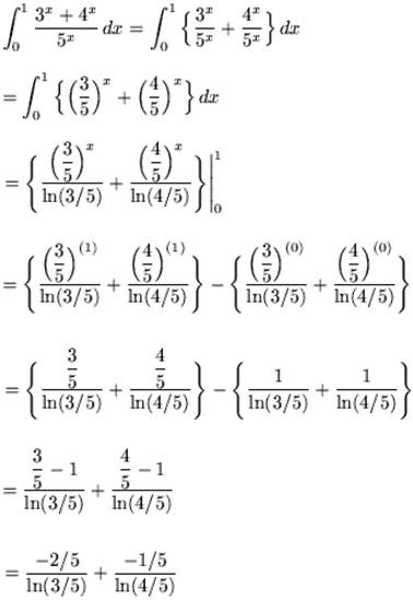
Example 2: Integrate
.
Solution: First, split the function into two parts, so that we get:

Example 3: Integrate ∫lnx dx.
Solution:
Let
u=lnu
and
dv = dx = (1)dx
so that:
du = 1/x dx
and
v = x
Therefore:
∫lnx dx
= x lnx - ∫x * 1/x dx
=xlnx - ∫1dx
=xlnx – x + C
Example 4: Integrate
.
Solution:
Use u-substitution. Let u = 3 + lnx
So that du = 1/x dx.
Substitute into the original problem we will get:
