Sign up
|
Login
Home
|
Math
|
Physics
|
Chemistry
|
Biology
|
Other
|
Tools
Submit New Formulas/Articles
Recently Added Math Formulas
·
Integrals of Trigonometric Functions
·
Integrals of Hyperbolic Functions
·
Integrals of Exponential and Logarithmic Functions
·
Integrals of Simple Functions
·
Integral (Indefinite)
Additional Formulas
·
Derivatives Basic
·
Differentiation Rules
·
Derivatives Functions
·
Derivatives of Simple Functions
·
Derivatives of Exponential and Logarithmic Functions
·
Derivatives of Hyperbolic Functions
·
Derivatives of Trigonometric Functions
·
Integral (Definite)
·
Integral (Indefinite)
·
Integrals of Simple Functions
Current Location
>
Math Formulas
>
Calculus
> Derivatives Functions
Derivatives Functions
Derivatives of Functions:
The Constant Rule
The derivative of a constant function is 0. That is, if c is a real number, then d[c]/dx = 0.
The Sum and Difference Rules
The sum (or difference) of two differentiable functions is differentiable and is the sum (or difference) of their derivatives.
The Constant Multiple Rule
If f is a differentiable function and c is a real number, then cf is also differentiable and
The Product Rule
The product of two differentiable functions, f and g, is itself differentiable. Moreover, the derivative of fg is the first function times the derivative of the second, plus the second function times the derivative of the first.
The Quotient Rule
The quotient f/g, of two differentiable functions, f and g, is itself differentiable at all values of x for which g(x) does not = 0. Moreover, the derivative of f/g is given by the denominator times the derivative of the numerator minus the numerator times the derivative of the denominator divided by the square of the denominator.
; g(x) ≠ 0
The Chain Rule
If y = f(u) is a differentiable function of u and u = g(x) is a differentiable function of x, then y = f(g(x)) is a differentiable function of x and
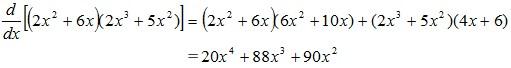
Example 1:
Find y´ if y = (2x
2
+ 6x)(2x
3
+ 5x
2
)
Solution
: To calculate y´ we need to use the product rule as follows:
Then we can write,
Example 2:
Find the derivative of y = 13x
4
– 6x
3
– x- 1
Solution
: Now, taking each term in turn:
Example 3:
Find the derivative of y = ln(g(x)) = ln(5x
2
)
Solution
:
Then we apply the chain rule, first by identifying the parts:
y = f(u) = in(u) and u = g(x) = 5x
2
Now, take the derivative of each part:
y´ = 1/ u and u´= 10x
And finally, multiply according to the rule.
Now, replace the u with 5x
2
, and simplify
Note that the generalized natural log rule is a special case of the chain rule:
Given that
f(u) = ln(u) and u = g(x)
and
y = ln(g(x))
Then the derivative of y with respect to x is defined as:
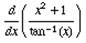
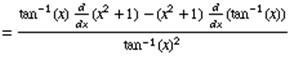
Example 4:
Evaluate
Solution
:
Where
u = x
2
+ 1
and
v = tan
-1
(x)
The derivative of a sum is the sum of the derivatives
The derivative of the constant 1 is 0.
The derivative of x
2
is 2x
2-1
The derivative of
tan
-1
(x)
is
1/(x
2
+1)
Web-Formulas.com ©
2026
|
Contact us
|
Terms of Use
|
Privacy Policy
|